网站首页
关于协会
协会简介
协会章程
会费标准
登记信息
联系我们
服务投诉
协会动态
行业资讯
会员之窗
资料下载
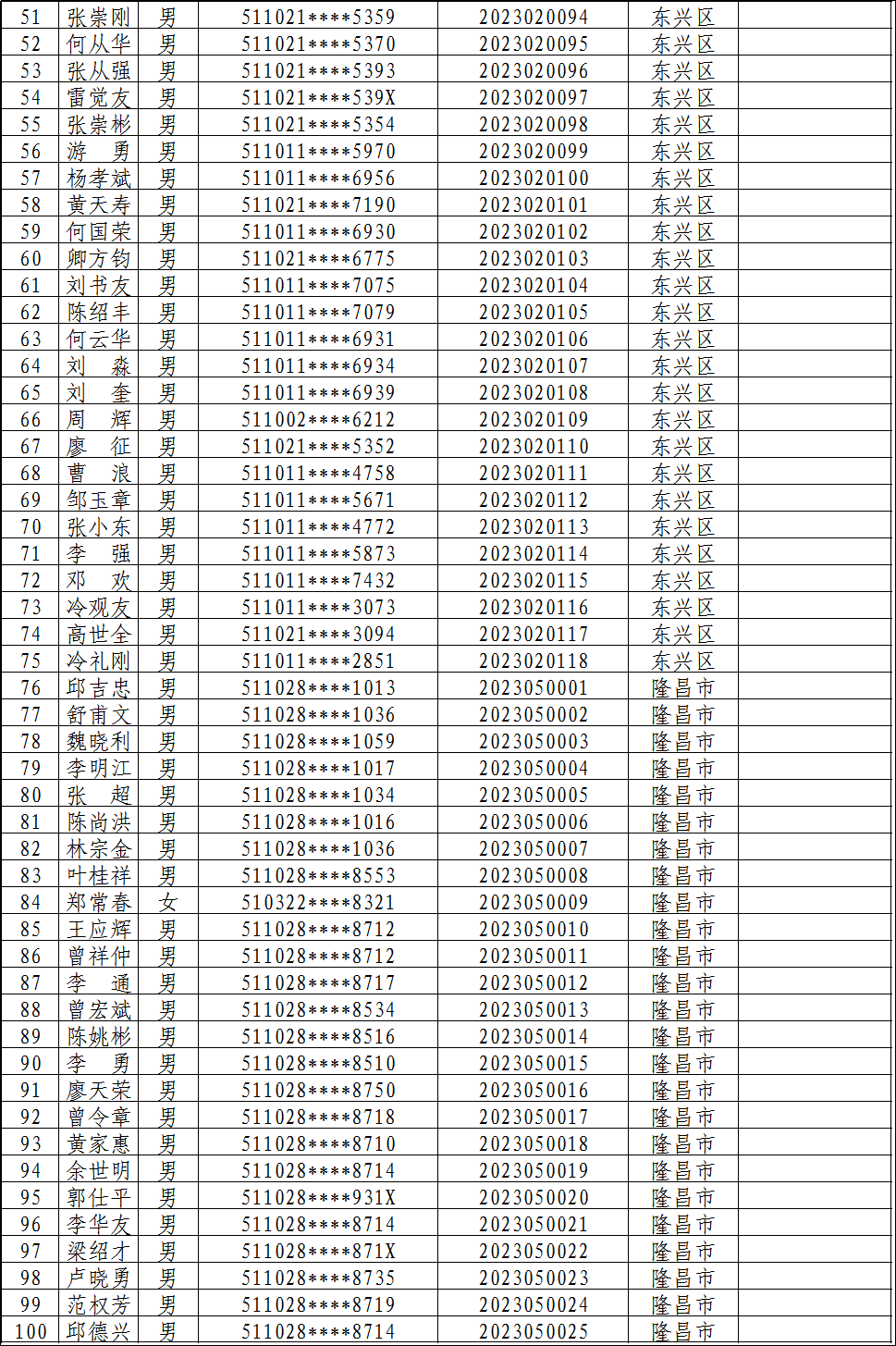
2024年1月内江市农村建筑工匠证书信息
发布日期:2024-04-03
来源:内江市建筑业协会
【打印本页】
【关闭窗口】